最近,家有艺考生的家长们正在重点关注两个消息:
10月底,教育部办公厅正式发布了《2026年普通高等学校部分特殊类型招生基本要求》(以下简称《要求》),其中对2026年艺术类招生作出了具体规定。

《2026年普通高等学校部分特殊类型招生基本要求》 图源教育部网站
此外,各大艺术类院校纷纷发布统考、校考招生专业与子科类对照关系通知,这是艺考生报名考试和报考专业的重要参考。其中,一些艺术类院校调整了招生考试方式。
11月底,2026年浙江省普通高校招生艺术类专业省统考即将开始,目前正值浙江艺考省统考报名阶段,今年艺考有哪些要点,潮新闻记者为您详解。
艺术类专业高考
文化课成绩要求正在稳步提高
《要求》中规定,各省(区、市)应根据不同艺术专业人才选拔培养需求,因地制宜、分类划定、稳步提高艺术类各专业高考文化课成绩录取控制分数线。
艺考新政实行以来,文化课成绩越发重要。

2024年底,中国美术学院外,等待孩子参加省统考的家长们。 记者邱伊娜摄
根据《要求》,通过省统考成绩录取的专业,高考文化课成绩占比原则上不低于50%。2026年艺术类本科专业高考文化课录取控制分数线,原则上不低于本科第二批次录取控制分数线的75%;艺术类高职(专科)专业高考文化课录取控制分数线不低于普通高职(专科)录取控制分数线的70%。
其中,舞蹈类和戏曲类专业、表(导)演类的表演专业、音乐类的音乐表演专业可适当降低要求。但《要求》明确规定,各省(区、市)不得为了完成招生计划而降低高考文化课成绩录取要求。
针对少数需要组织校考的高校艺术类专业,《要求》也明确提出,鼓励校考高校结合专业培养要求,进一步提高考生高考文化课成绩录取要求,同时相关专业(招考方向)未完成的计划不得调整到其他校考专业(招考方向)。
当然,在专业领域非常突出的考生,有机会参与破格录取。今年年初,就有一位志愿考入中国美术学院的武汉考生向潮新闻记者咨询了学校破格录取的条件。
以中国美术学院为例,2025年部分校考专业成绩排名在招生计划数的前15%的考生,有机会在其专业满足条件的录取人数未达到招生计划数的情况下,经学校研究后启用破格录取。但这些考生的文化课分数要求不低于生源所在省份普通类专业本科批次相应科类录取控制分数线85%(小数向上取整)。

专业成绩突出的学生可以获得破格录取资格 图源中国美术学院官网
校考专业
正在进一步缩减
《要求》发布后的第二天,中央美术学院发布《2026年本科招生考试公告》,宣布美术学专业取消校考,分省计划在普通批次录取;设计学类(艺术设计)/艺术设计学、设计学类(城市艺术设计)、建筑学均使用省级统考成绩进行初筛,不再组织线上考试。

央美调整招生公告 图源中央美术学院官网
这两年,已经有不少艺术类院校调整专业招考方式:
2025年8月,南京艺术学院舞蹈学、音乐教育专业自2026年起普通本科招生不再组织校考,以省统考作为专业成绩录取。
2023年底,浙江省教育厅发布《浙江省可组织开展艺术类校考的院校专业目录》,包括中国美术学院、浙江理工大学、浙江传媒学院、浙江音乐学院四所高校共34个专业。到了2025年,中国美术学院的建筑学专业已经从校考专业划入普通类录取;环境设计、产品设计等专业也曾在可组织校考的目录中,目前只需要通过省统考成绩录取。
浙江理工大学的服装与服饰设计专业,2025年也不再组织校考,均采用考生所在省份统考成绩录取。
校考专业减少,反映出近年来艺考的改革趋势:省统考越来越重要,而校考变得更为规范、严格。
例如《要求》规定,校考采取提交作品或线上考试方式的,要在考中采取“双机位”(分别录制考生和考试场景)、“防缩屏”(防止缩小考试屏幕查看资料)、“防编辑”(防止编辑原始录制视频)、“防对口型”(随机加入对话程序防止播放录音“对口型”)等措施。
此外,原则上在本年度校考报名开始前2年内与报名考生有指导或辅导关系的评委,均应如实申报并在校考中予以回避。一旦发现专家评委隐瞒申报可能影响考试,坚决查处并纳入“黑名单”。

2025年2月23日,在浙江音乐学院参加复试的考生们 记者邱伊娜摄
浙江这些学校设有艺考专业
考生和家长可以时刻关注
据“浙江考试”,2026年报考艺术类专业省统考的浙江考生,须在高考报名时选择相应的省统考科类(方向)(可多选),目前,考生们正在网上信息输入阶段,11月10日17:00截止。
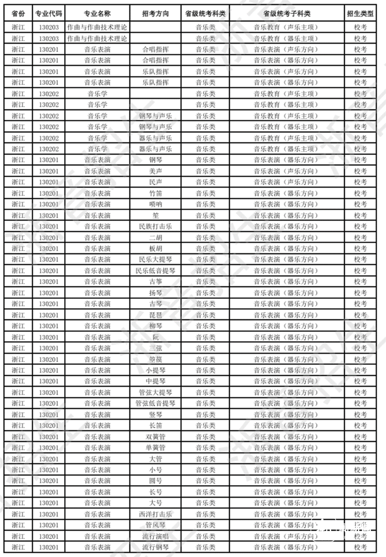
《要求》规定,原则上高校同一艺术类专业应对应同一个省级统考科类要求,且在各招生省份保持一致。目前,浙江各艺术类院校已陆续发布了本科招生专业省统考科类对应要求——
中国美术学院

浙江音乐学院


浙江传媒学院

此外,浙江理工大学等省内高校也有可依照省统考作为专业成绩的艺术类专业,考生和家长们可以在各个院校的招生网站查看相关招生政策。
版权和免责申明
凡注有"浙江在线"或电头为"浙江在线"的稿件,均为浙江在线独家版权所有,未经许可不得转载或镜像;授权转载必须注明来源为"浙江在线",并保留"浙江在线"的电头。
